검증지표
- R-squared(R^2) : (−∞,1]

- Mean Absolute Error(MAE) : [0,+∞)

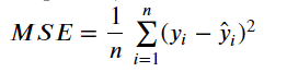
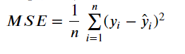
- Mean Squared Error(MSE) : [0,+∞)

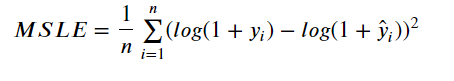
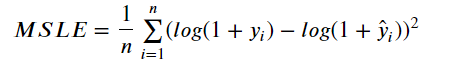
- Mean Squared Logarithmic Error(MSLE) : [0,+∞)

- Median Absolute Error(MedAE) : [0,+∞)

- Root Mean Squared Error(RMSE) : [0,+∞)

- Mean Absolute Percentage Error(MAPE) : [0,+∞)

- Mean Percentage Error(MPE) : (−∞,+∞)

MAE = abs(Y_train.values.flatten() - pred_tr_reg1).mean()
MSE = ((Y_train.values.flatten() - pred_tr_reg1)**2).mean()
MAPE = (abs(Y_train.values.flatten() - pred_tr_reg1)/Y_train.values.flatten()*100).mean()
.flatten() : 1차원 배열로 만들어 줌
편향 - 분산 상층 관계 ( Bias-Variance Trade-off )
(1) 편향(Bias)
- 점추정
- 예측값과 실제값의 차이
(2) 분산(Variance)
- 구간추정
- 예측값이 평균으로부터 퍼진 정도

(3) 편향과 분산의 관계
- Underfitting : Bias가 증가하고 Variance가 감소 - 모델 복잡도 낮음
- Overfitting - Bias가 감소하고 Variance가 증가 - 모델의 복잡도가 높음

+ 참고 자료 및 출처
- 김경원 < 파이썬을 활용한 시계열 데이터 분석 A-Z 강의 > ( 패스트캠퍼스 강의 )
'Analysis > Time series' 카테고리의 다른 글
| Lecture 8. 시계열 데이터 전처리 (0) | 2021.03.18 |
|---|---|
| Lecture 7. 잔차진단 (0) | 2021.03.16 |
| Lecture 5. 시계열 데이터 시각화 (0) | 2021.03.15 |
| Lecture 4. 시계열 데이터 분리 및 회귀분석 (0) | 2021.03.13 |
| Lecture 3. 시계열 데이터 패턴 추출 (0) | 2021.03.13 |
댓글